Salah Eddine El Herrag

PhD in Cell Biology and Pathology | Oncology & Cancer Research

Epidemiological insights into colorectal cancer in northwestern Algeria


Journal article


Salah Eddine El Herrag, Soraya Moulessehoul, Douniazad El Mehadji, Djamila Yekrou, Méghit Boumediène Khaled
ecancermedicalscience, vol. 18, 2024 Mar, p. 1684


Cite

Cite

APA   Click to copy
El Herrag, S. E., Moulessehoul, S., El Mehadji, D., Yekrou, D., & Khaled, M. B. (2024). Epidemiological insights into colorectal cancer in northwestern Algeria. Ecancermedicalscience, 18, 1684. https://doi.org/10.3332/ecancer.2024.1684


Chicago/Turabian   Click to copy
El Herrag, Salah Eddine, Soraya Moulessehoul, Douniazad El Mehadji, Djamila Yekrou, and Méghit Boumediène Khaled. “Epidemiological Insights into Colorectal Cancer in Northwestern Algeria.” ecancermedicalscience 18 (March 2024): 1684.


MLA   Click to copy
El Herrag, Salah Eddine, et al. “Epidemiological Insights into Colorectal Cancer in Northwestern Algeria.” Ecancermedicalscience, vol. 18, Mar. 2024, p. 1684, doi:10.3332/ecancer.2024.1684.


BibTeX   Click to copy

@article{el2024a,
  title = {Epidemiological insights into colorectal cancer in northwestern Algeria},
  year = {2024},
  month = mar,
  journal = {ecancermedicalscience},
  pages = {1684},
  volume = {18},
  doi = {10.3332/ecancer.2024.1684},
  author = {El Herrag, Salah Eddine and Moulessehoul, Soraya and El Mehadji, Douniazad and Yekrou, Djamila and Khaled, Méghit Boumediène},
  month_numeric = {3}
}

Abstract

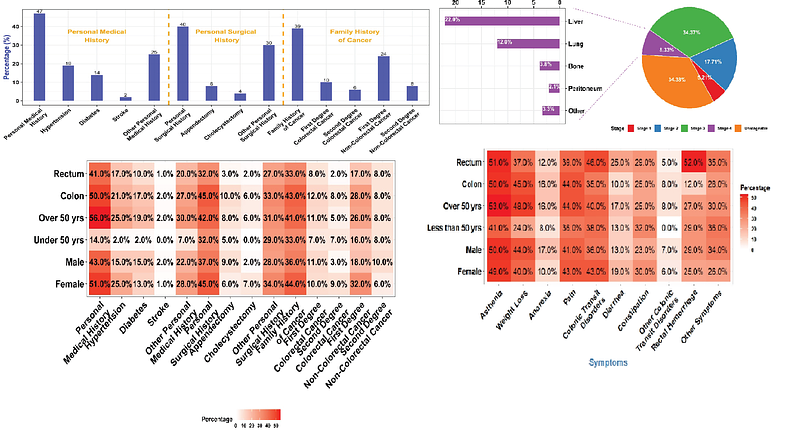
Objectives: The incidence of colorectal cancer (CRC) has exhibited regional variability in North Africa and the Middle East, with a steady increase in Algeria. Despite this trend, limited data exist on the epidemiology of CRC in northwestern Algeria. Our study aimed to investigate the epidemiological characteristics of CRC in this region.
Methods: We conducted a retrospective study examining 255 confirmed CRC cases through medical records from patients at the Sidi Bel Abbes anti-cancer centre.
Results: The mean age of the study participants was 59 ± 13 years. The results showed a higher incidence in males (57%) than in females, and colon (62%) than rectal cancer. Within this cohort, 47% had a pre-existing medical condition, while 39% had a family history of cancer. Adenocarcinomas were the prevailing histological subtype in 94% of CRC cases. Compared with colon cancer, rectal cancer was less often diagnosed at stage IV of the disease (OR = 0.75; 95% CI = 0.09, 4.86; p = 0.8) and more likely in early-onset patients (OR = 2.27; 95% CI = 1.25, 4.17; p = 0.007). Men were at a higher risk of being diagnosed with metastatic CRC primarily hepatic metastases (OR = 2.03; 95% CI = 1.07, 3.99; p = 0.033) and pulmonary metastases (OR = 2.50; 95% CI = 1.07, 6.59; p = 0.045).
Conclusion: This study may provide a comprehensive glimpse into CRC epidemiology in northwest Algeria. Understanding regional differences is the key to implementing specific preventive and interventional strategies.
Keywords: colorectal neoplasms, epidemiology, incidence, Algeria